Ngân hàng Trung ương Châu Âu (ECB) đã bác bỏ ý tưởng stablecoin là “nơi trú ẩn an toàn” cho các nhà đầu tư trong thời kỳ thị trường hỗn loạn, khi phát hiện ra rằng chúng thực sự bị ảnh hưởng rất lớn bởi chính sách tiền tệ của Hoa Kỳ.
Bài viết nghiên cứu đã xem xét mối liên hệ giữa chính sách tiền tệ của Hoa Kỳ, quỹ thị trường tiền tệ (MMF) và stablecoin.
“Chính sách tiền tệ, đặc biệt là đối với đồng đô la Mỹ, là chốt chặn kết nối tiền điện tử và thị trường tài chính truyền thống”, các tác giả kết luận.
Bài viết lập luận rằng stablecoin có giá cố định và thường được chốt với một loại tiền fiat (thường là đô la Mỹ) nên dễ bị ảnh hưởng bởi những cú sốc từ bên trong các thị trường tài chính truyền thống, chẳng hạn như thay đổi chính sách tiền tệ của Hoa Kỳ, ví dụ như tăng lãi suất.
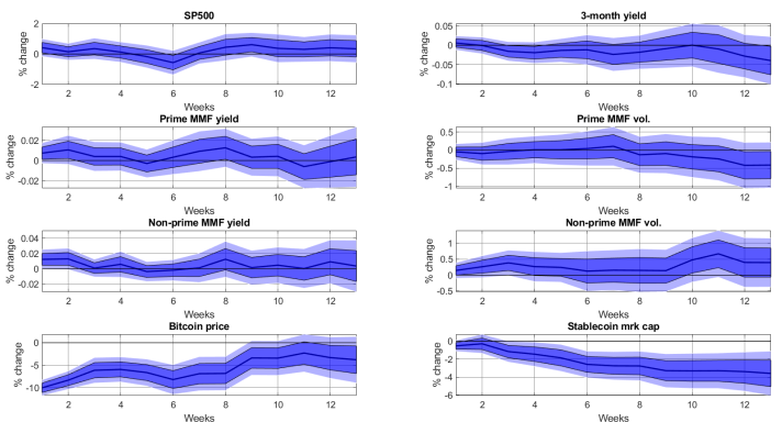
Đánh giá dữ liệu từ năm 2019, ECB tuyên bố việc chính phủ Hoa Kỳ tăng lãi suất đã khiến vốn hóa thị trường của stablecoin giảm 10% trong 12 tuần tiếp theo. Trong khi đó, nghiên cứu phát hiện ra rằng các tài sản phi tiền điện tử truyền thống, chẳng hạn như quỹ thị trường tiền tệ, thực sự đã nhận được lượng vốn mới đáng kể trong cùng thời kỳ này.
Quỹ thị trường tiền tệ là một loại quỹ đầu tư vào các chứng khoán nợ ngắn hạn như trái phiếu kho bạc Hoa Kỳ, thường được coi là một trong những lựa chọn đầu tư bảo thủ và rủi ro thấp nhất.
Bài báo lập luận khi chính sách tiền tệ thắt chặt, các nhà đầu tư sẽ cần ít stablecoin hơn cho mục đích đầu cơ.
“Những cú sốc chính sách tiền tệ thắt chặt là tiêu cực đối với tiền điện tử: Khi chi phí cơ hội để nắm giữ các tài sản không chịu lãi suất, không được quản lý tăng lên trong môi trường lãi suất tăng, các nhà đầu tư chuyển sang tài sản đầu tư truyền thống”.

Phản ứng tức thời với cú sốc chính sách tiền tệ thắt chặt | Nguồn: ECB
Bài báo cũng xem xét tác động của các sự kiện trong thế giới tiền điện tử đối với vốn hóa thị trường stablecoin. ECB phát hiện ra rằng vốn hóa thị trường của stablecoin như USDT hoặc USDC giảm mạnh trong các “cú sốc tiền điện tử” hoặc tổng giá trị của Bitcoin mất giá đột ngột.
Trung bình, các stablecoin giảm khoảng 4% sau “cú sốc tiền điện tử”. Các ví dụ về cú sốc tiền điện tử như Tesla quyết định tạm dừng thanh toán từ mạng Bitcoin, cuộc đàn áp của Trung Quốc, TerraUSD/LUNA sụp đổ và FTX phá sản đột ngột.

Phản ứng tức thời đối với cú sốc tiền điện tử tiêu cực | Nguồn: ECB
Do đó, họ kết luận chính sách tiền tệ có tác động lớn đến stablecoin hơn là các cú sốc đối với thế giới tiền kỹ thuật số. Ví dụ, trong “mùa đông crypto” năm 2021, stablecoin lớn như USDT bị ảnh hưởng đáng kể về vốn hóa thị trường, nhưng không nhiều như các loại tiền tệ không chốt theo đô la như Bitcoin.
Ngược lại, nghiên cứu kết luận những biến động lớn trên thị trường tiền điện tử không tác động nhiều đến thế giới tài chính truyền thống, ít nhất là tại thời điểm viết bài. Bài viết tìm thấy mối tương quan rất thấp giữa các sự kiện lớn trong thế giới tiền điện tử và dòng tiền đổ vào các quỹ thị trường tiền tệ, chẳng hạn như giá thị trường chứng khoán Hoa Kỳ.
Nghiên cứu không tính đến các chính sách của Ngân hàng Trung ương tại các nền kinh tế lớn khác.
Tham gia Telegram: https://t.me/tapchibitcoinvn
Theo dõi Twitter (X): https://twitter.com/tapchibtc_io
Theo dõi Tiktok: https://www.tiktok.com/@tapchibitcoin
- Sử dụng stablecoin tăng mạnh ở Mỹ Latinh giữa bối cảnh lạm phát cao
- Hàn Quốc áp dụng các quy định ngoại hối đối với giao dịch stablecoin
- Peter Brandt dự đoán Bitcoin sẽ đạt 135.000 USD vào năm 2025, 48.000 USD là ngưỡng quyết định
Đình Đình
Theo Decrypt

Bitcoin
Ethereum
Tether
XRP
Solana
USDC
Lido Staked Ether
Dogecoin
TRON
Cardano
Wrapped stETH
Figure Heloc
Wrapped Bitcoin
Chainlink
Hyperliquid
Bitcoin Cash
Wrapped eETH 




























